【噴水圖】1/2
溫泉會館想用拋物線繪製照片中噴出的水柱(紅線處),
希望
的圖形(照片中的紅線)與水柱盡量重合,
已知操作區中的滑桿一開始設定在a=-0.21,b=-1.6,
請操作滑桿改變目前的a,b值,並判斷如何調整?(請勾選)
(出水口置於繪圖坐標系中的原點)
正確答案:
a,b都(往右)調大
a,b都(往左)調小
a調大,b調小
a調小,b調大
在電腦上觀看時,可點選操作區右下方的
按鈕來進入全螢幕。
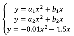
【噴水圖】2/2
若同時畫出下列三個方程式的圖形,希望水柱有散開的感覺(如右圖),
則數對
與
為下列何者才合理?(請勾選)
(-0.01,-0.01)與(1.4,1.45)
(0.01,0.01)與(-1.4,-1.45)
(-0.01,-0.01)與(-1.4,-1.45)
(-0.01,-0.02)與(1.5,-1.5)