【B-29超級空中堡壘】1/4
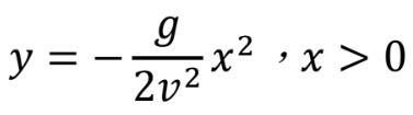
當一個物體作水平拋射運動,不考慮空氣阻力,移動軌跡為拋物線,滿足下方二次函數的關係式。 其中 x 表示水平移動距離、y 表示垂直移動距離、v 表示拋射速度,以及重力加速度 g=9.8m/s
2
。 設定物體初始位於原點(0,0)。當x=100,表示物體向右移動100單位。當y=−100,表示物體向下移動100單位。
請利用上面資訊回答下列各題:
有一物體以100m/s的拋射速度水平射出:
(1) 如果從高度1731.9m的位置射出,請問落地後,水平移動距離為多少公尺?
答案:
公尺
(2). 如果發射後,水平移動3750m後落地,請問是從高度多少公尺的位置射出?
答案:
公尺
說明:
* 滾動滑鼠滾輪,可放大或縮小平面座標
* 左右移動滑桿的藍點,可改變拋射速度和座標點的位置
【B-29超級空中堡壘】2/4
當一個物體作水平拋射運動,不考慮空氣阻力,移動軌跡為拋物線,滿足下方二次函數的關係式。 其中 x 表示水平移動距離、y 表示垂直移動距離、v 表示拋射速度,以及重力加速度 g=9.8m/s
2
。 設定物體初始位於原點(0,0)。當x=100,表示物體向右移動100單位。當y=−100,表示物體向下移動100單位。
請利用上面資訊回答下列各題:
小辰認為:「以相同的拋射速度v作水平拋射運動時,垂直移動距離y的變化量,一定大於水平移動距離x的變化量。」
請問你認同或不認同他的說法,請說明理由。
可運用下方圖形,回答問題。
認同
不認同
理由:
說明:
* 滾動滑鼠滾輪,可放大或縮小平面座標
* 左右移動滑桿的藍點,可改變拋射速度和座標點的位置
【B-29超級空中堡壘】3/4
當一個物體作水平拋射運動,不考慮空氣阻力,移動軌跡為拋物線,滿足下方二次函數的關係式。 其中 x 表示水平移動距離、y 表示垂直移動距離、v 表示拋射速度,以及重力加速度 g=9.8m/s
2
。 設定物體初始位於原點(0,0)。當x=100,表示物體向右移動100單位。當y=−100,表示物體向下移動100單位。
請利用上面資訊回答下列各題:
第二次世界大戰期間,空中堡壘B-29轟炸機成為空中主力。一架B-29轟炸機攜帶炸彈出任務,飛行速度為150m/s,高度為9632m,炸彈被投出後,在距離地面600m的高度爆炸,請問投彈點與爆炸處的水平距離為多少公尺?(無條件捨去到整數)
答案:
公尺
說明:
* 滾動滑鼠滾輪,可放大或縮小平面座標
* 左右移動滑桿的藍點,可改變拋射速度和座標點的位置
【B-29超級空中堡壘】4/4
當一個物體作水平拋射運動,不考慮空氣阻力,移動軌跡為拋物線,滿足下方二次函數的關係式。 其中 x 表示水平移動距離、y 表示垂直移動距離、v 表示拋射速度,以及重力加速度 g=9.8m/s
2
。 設定物體初始位於原點(0,0)。當x=100,表示物體向右移動100單位。當y=−100,表示物體向下移動100單位。
請利用上面資訊回答下列各題:
如果飛行速度為150m/s,飛行員希望直接命中前方水平距離6500m處的目標,落地並同時爆炸,則轟炸機投彈時的瞬間飛行高度為多少公尺?(無條件捨去到整數)
答案:
公尺
說明:
* 滾動滑鼠滾輪,可放大或縮小平面座標
* 左右移動滑桿的藍點,可改變拋射速度和座標點的位置